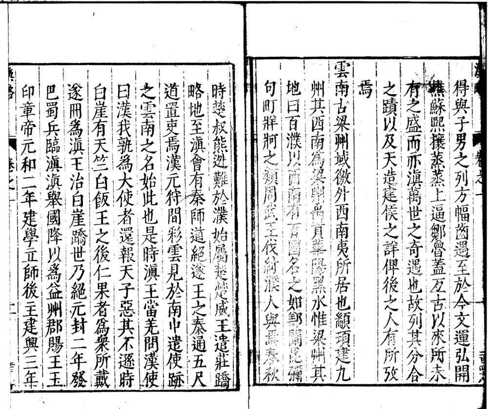
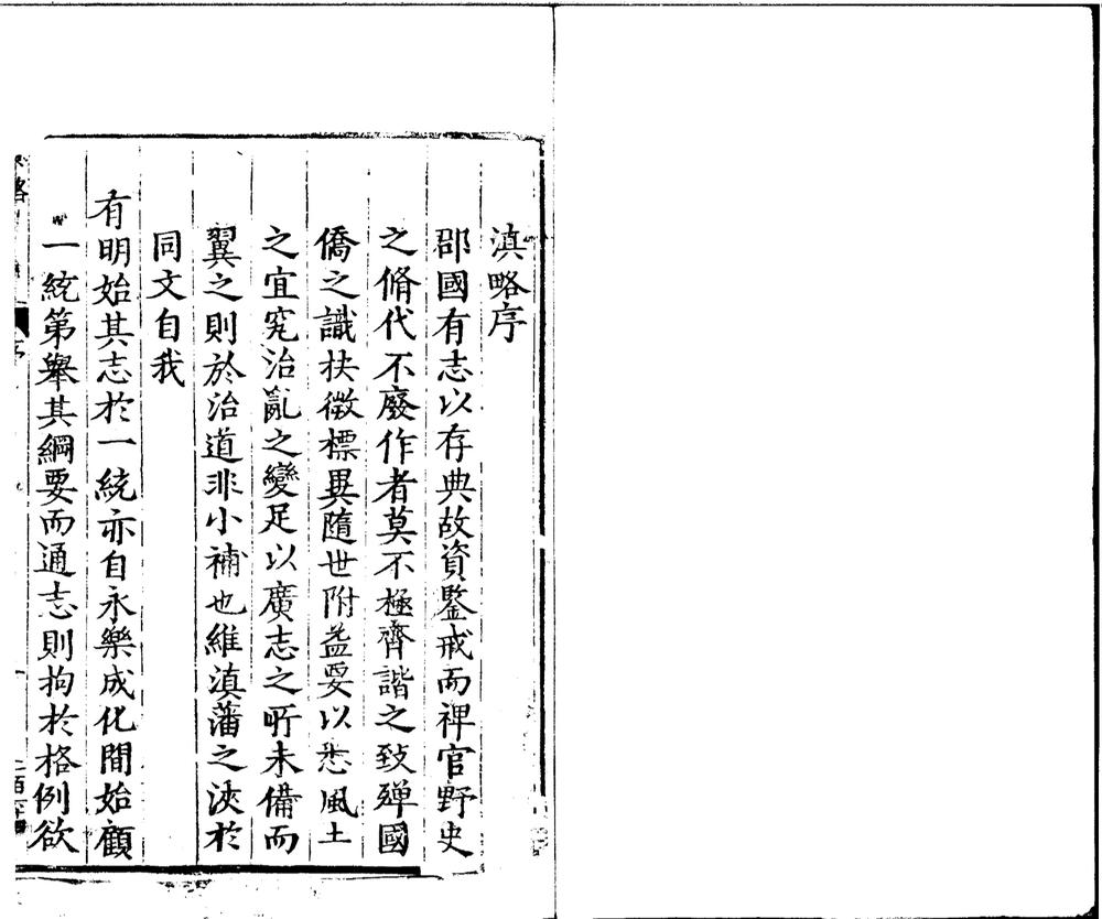
《滇略十卷》高清PDF 2024年 12月 28日 yfshuhua1 【基本信息】 书名 滇略十卷 文件大小 21.6MB 古籍页数 310页 页面大小 1725 × 1439 馆藏信息 上海图书馆 【部分页面截图】 _滇略十卷__ _滇略十卷__ 【下载地址】(支付后可显示下载链接,默认提供百度网盘下载链接) 如何购买网站资源?