【基本信息】
| 书名 | 武功县志 |
| 書名 | 武功縣誌 |
| 作者 | 康海 |
| 页面像素大小 | 3,272 × 2,358 |
| 文件大小(实际) | 15.1MB |
| 总页数 | 共157页 |
| 版本 | 刻本 |
| 出版 | 武功党金衡慎德堂 |
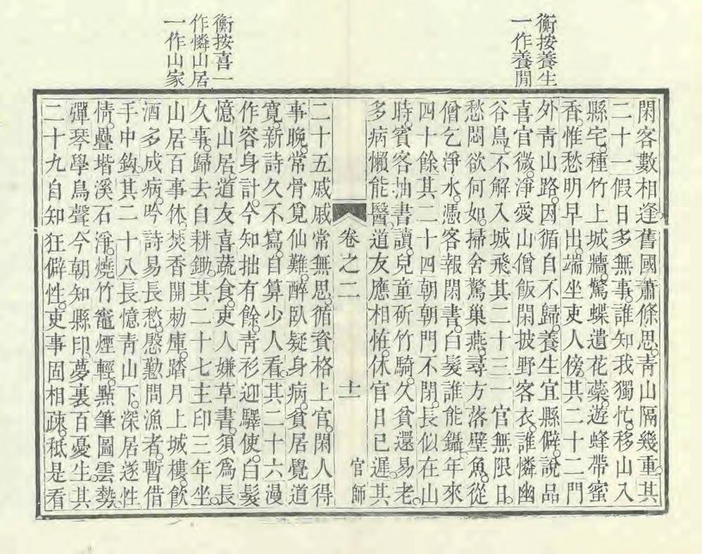
| 描述 | 卷之一 地理 建置 祠祀 |
| 出版时间 | 清道光8年[1828] |
| 总册数 | 4 |
| 来源 | 中華古籍資源庫 數字方志 |
| 文件列表 | 武功縣誌 清道光8年(1828) 卷三.pdf 武功縣誌 清道光8年(1828) 卷二.pdf 武功縣誌 清道光8年(1828) 卷五.pdf 武功縣誌 清道光8年(1828) 卷四.pdf |
【部分页面截图】

_武功县志_

_武功县志_

_武功县志_
【下载地址】(支付后可显示下载链接,默认提供百度网盘下载链接)
如何购买网站资源?

